
بررسی اثر فرکانسهای بیس در اتاق
فرکانسهای بیس، که به عنوان فرکانسهای پایین در محدوده صوتی شناخته میشوند، نقش حیاتی در ایجاد تجربه شنیداری غنی و عمیق ایفا میکنند. این فرکانسها، که معمولاً بین ۲۰ تا ۲۵۰ هرتز قرار دارند، حس قدرت، عمق و لرزش را به موسیقی، فیلمها و سیستمهای صوتی منتقل میکنند.
اما زمانی که این فرکانسها در یک فضای بسته مانند اتاق پخش میشوند، رفتار آنها تحت تأثیر ویژگیهای آکوستیکی اتاق قرار میگیرد. این تعامل میتواند کیفیت صدا را بهبود بخشد یا به شدت مختل کند.
در این مقاله، به بررسی جامع اثر فرکانسهای بیس در اتاق میپردازیم و جنبههای مختلف آن، از جمله فیزیک صوت، مودهای اتاق، امواج ایستاده، و راهحلهای عملی برای مدیریت این اثرات را کاوش میکنیم.
این مقاله با هدف ارائه محتوای ارزشمند و جامع برای علاقهمندان به موسیقی، مهندسان صوت، طراحان استودیوهای ضبط، و کاربران خانگی سیستمهای سینمای خانگی نگارش شده است.
مقدمه: چرا فرکانسهای بیس مهم هستند؟
فرکانسهای بیس بخش جداییناپذیر هر تجربه صوتی هستند. از صدای عمیق طبل در یک کنسرت موسیقی گرفته تا انفجارهای مهیج در فیلمهای اکشن، بیس حس هیجان و واقعی بودن را به شنونده منتقل میکند. اما در محیطهای بسته مانند اتاقهای خانگی، استودیوها یا سالنهای کوچک، این فرکانسها به دلیل تعامل با دیوارها، سقف و کف اتاق رفتار پیچیدهای از خود نشان میدهند.
اتاقها به عنوان یک سیستم آکوستیکی بسته عمل میکنند و فرکانسهای بیس را تقویت یا تضعیف میکنند. این رفتار میتواند منجر به مشکلاتی مانند بیس بیش از حد قوی در برخی نقاط یا فقدان بیس در نقاط دیگر شود. درک این اثرات برای هر کسی که به دنبال بهینهسازی کیفیت صدا در فضاهای بسته است، ضروری است. در این مقاله، ما به طور عمیق به این موضوع میپردازیم که چگونه اتاق بر فرکانسهای بیس تأثیر میگذارد و چگونه میتوان این اثرات را مدیریت کرد.
پیشنهاد ویژه:
« اولین و کاملترین دوره آموزشی نرم افزار اودئون ODEON برای طراحی آکوستیک »
ثبت نام دوره آموزشی نرم افزار اودئون ODEON
فرکانسهای بیس چیست؟
فرکانسهای بیس به محدودهای از فرکانسهای صوتی گفته میشود که معمولاً بین ۲۰ هرتز (پایینترین فرکانس قابل شنیدن توسط انسان) تا حدود ۲۵۰ هرتز قرار دارند. این محدوده شامل صداهایی است که حس عمق و قدرت را به صدا اضافه میکنند. برای مثال:
- ۲۰-۶۰ هرتز: محدوده sub-bass، که شامل صداهای عمیق مانند رعد و برق یا بیس عمیق در موسیقی الکترونیک است.
- ۶۰-۲۵۰ هرتز: محدوده mid-bass، که شامل صداهایی مانند کیک درام یا خط بیس گیتار است.
از نظر فیزیکی، فرکانسهای بیس طول موجهای بلندی دارند. برای فرکانس ۲۰ هرتز، طول موج حدود ۱۷ متر است، که معمولاً از ابعاد یک اتاق معمولی بزرگتر است. این طول موج بلند باعث میشود که امواج بیس به راحتی با سطوح اتاق تعامل کنند و پدیدههایی مانند امواج ایستاده و رزونانس را ایجاد کنند.
در سیستمهای صوتی، سابووفرها وظیفه تولید فرکانسهای بیس را بر عهده دارند. اما حتی بهترین سابووفرها نیز بدون در نظر گرفتن آکوستیک اتاق نمیتوانند عملکرد بهینهای داشته باشند. برای مثال، یک سابووفر با کیفیت بالا ممکن است در یک اتاق با آکوستیک ضعیف صدایی نامتعادل تولید کند، در حالی که در یک اتاق بهینهسازیشده، همان سابووفر صدایی شفاف و متعادل ارائه میدهد.
فیزیک صوت و رفتار بیس در اتاق
برای درک اثر اتاق بر فرکانسهای بیس، ابتدا باید اصول اولیه فیزیک صوت را مرور کنیم. صدا به صورت امواج فشاری در هوا منتشر میشود. فرکانسهای پایین (بیس) به دلیل طول موج بلند، رفتار متفاوتی نسبت به فرکانسهای بالا دارند. در یک محیط باز، امواج بیس به صورت کروی منتشر میشوند و به تدریج با فاصله کاهش مییابند. اما در یک اتاق بسته، این امواج با دیوارها، سقف و کف برخورد میکنند و بازتاب مییابند، که منجر به تداخلهای سازنده و مخرب میشود.
امواج ایستاده چیست؟
امواج ایستاده زمانی تشکیل میشوند که امواج صوتی مستقیم و بازتابشده با یکدیگر تداخل کنند. این پدیده در فرکانسهای بیس به دلیل طول موج بلند بسیار برجسته است. وقتی طول موج بیس (یا مضرب/کسر آن) با ابعاد اتاق همخوانی داشته باشد، امواج ایستاده ایجاد میشوند. در این حالت:
- گرهها (Nodes): نقاطی هستند که امواج در آنها یکدیگر را خنثی میکنند و صدا تضعیف میشود.
- ضدگرهها (Antinodes): نقاطی هستند که امواج یکدیگر را تقویت میکنند و صدا قویتر شنیده میشود.

برای مثال، در اتاقی با طول ۵ متر، فرکانس ۳۴ هرتز (که نیمطول موج آن برابر با ۵ متر است) میتواند امواج ایستاده ایجاد کند. این باعث میشود که بیس در برخی نقاط اتاق بیش از حد قوی و در نقاط دیگر ضعیف باشد.
پیشنهاد ویژه:
دوره آموزش ماژول آکوستیک ساختمانی نرم افزار کامسول
ثبت نام دوره آموزشی نرم افزار کامسول
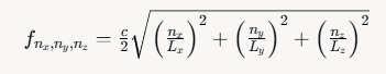
مودهای اتاق
مودهای اتاق فرکانسهای رزونانسی هستند که به دلیل ابعاد اتاق ایجاد میشوند. این مودها به سه دسته تقسیم میشوند:
- مودهای محوری (Axial): بین دو سطح مقابل (مثل دیوارهای روبهرو).
- مودهای مماسی (Tangential): بین چهار سطح (مثل دیوارها و سقف/کف).
- مودهای مورب (Oblique): بین شش سطح (تمام دیوارها، سقف و کف).
فرمول محاسبه فرکانس مودها در تصویر زیر نمایش داده شده است:

که در آن c سرعت صوت (حدود ۳۴۳ متر بر ثانیه)، L_x, L_y, L_z ابعاد اتاق و n_x, n_y, n_z اعداد صحیح هستند.
برای مثال، در اتاقی با ابعاد 4x3x2.5 متر، اولین مود محوری در جهت طول (۴ متر) حدود ۴۳ هرتز است. این مودها باعث ایجاد نقاط تقویت (peaks) و تضعیف (dips) در پاسخ فرکانسی اتاق میشوند.
روم گین (Room Gain)
روم گین پدیدهای است که در آن فشار صوتی فرکانسهای خیلی پایین در یک اتاق بسته افزایش مییابد. این اثر به دلیل محدود شدن امواج بیس در فضای بسته رخ میدهد. برای مثال، در فرکانسهای زیر ۳۰ هرتز، اتاق میتواند بیس را تا ۱۲ دسیبل تقویت کند. این اثر برای سابووفرهای sealed بسیار مفید است، اما در اتاقهای غیرهوابند (مثل اتاقهایی با پنجرههای باز) کاهش مییابد.
SBIR (Speaker-Boundary Interference Response)
SBIR به تداخل بین صدای مستقیم سابووفر و بازتاب آن از دیوارهای نزدیک اشاره دارد. این پدیده معمولاً باعث ایجاد نقاط تضعیف (dips) در پاسخ فرکانسی میشود. برای مثال، اگر سابووفر در فاصله ۱ متری از دیوار قرار داشته باشد، فرکانسهایی که یکچهارم طول موج آنها برابر با ۱ متر است (حدود ۸۶ هرتز) تضعیف میشوند.
مشکلات رایج ناشی از فرکانسهای بیس در اتاق
فرکانسهای بیس به دلیل تعامل با اتاق میتوانند مشکلات متعددی ایجاد کنند که در زیر به برخی از آنها اشاره میکنیم:
- بیس ناهموار: در برخی نقاط اتاق، بیس بیش از حد قوی و در نقاط دیگر ضعیف است. این مشکل به دلیل امواج ایستاده و مودهای اتاق ایجاد میشود.
- Boominess: تقویت بیش از حد برخی فرکانسهای بیس باعث میشود صدا “غرشدار” یا “گنگ” به نظر برسد.
- فقدان بیس: در برخی نقاط، به دلیل تداخل مخرب، بیس به کلی از بین میرود.
- تشدید (Resonance): فرکانسهای خاصی که با مودهای اتاق همخوانی دارند، بیش از حد تقویت میشوند و کیفیت صدا را مختل میکنند.
ابزارهای حرفهای
ابزارهایی مانند نرم افزارهای ODEON و EASE برای تحلیل پیشرفتهتر آکوستیک اتاق استفاده میشوند. این نرمافزارها میتوانند پاسخ فرکانسی، زمان بازتاب (reverberation time) و رفتار بیس را با دقت بالا مدلسازی کنند.
راهحلهای عملی برای مدیریت اثر بیس
مدیریت فرکانسهای بیس در اتاق نیازمند ترکیبی از طراحی دقیق آکوستیکی، تنظیمات صوتی و ابزارهای اصلاحی است. در زیر به برخی از مهمترین راهحلها اشاره میکنیم:
۱. استفاده از Bass Traps
Bass traps پنلهای آکوستیکی هستند که برای جذب انرژی فرکانسهای پایین طراحی شدهاند. این پنلها معمولاً در گوشههای اتاق (جایی که امواج بیس تجمع میکنند) قرار میگیرند. انواع bass traps شامل:
- بیسترپ BTC
- یک جذبکنندهی قدرتمند فرکانسهای پایین است که بهطور ویژه برای قرارگیری در گوشههای اتاق طراحی شده است؛ جایی که بیشترین تجمع انرژی فرکانس پایین رخ میدهد. فرم مثلثی این بیسترپ باعث میشود حجم مؤثر جذب در ناحیهٔ گوشه افزایش یابد و عملکرد بسیار بهتری نسبت به پنلهای تخت و فومی معمولی ارائه دهد.
- بیسترپ هرمی
- بیسترپ هرمی یک جذبکنندهی تخصصی فرکانسهای پایین است که برای کنترل مودهای اتاق، کاهش بوم و بهبود وضوح صدا در فضاهای کوچک تا متوسط طراحی شده است. ساختار هرمی این محصول با افزایش سطح مؤثر و ایجاد مسیرهای پیچیده برای عبور موج صوت، توانایی جذب فرکانسهای پایین تا میانی را بهطور قابل توجهی افزایش میدهد و بازتابهای مزاحم را از حالت مستقیم و متمرکز خارج میکند.
- بیسترپ هلمبیس (هلمهولتز)
- یک جذبکنندهی تخصصی و کاملاً مهندسیشده است که برای کنترل دقیق فرکانسهای خاص در ناحیهی پایین طراحی شده. این مدل بر پایهی اصول رزونانس هلمهولتز کار میکند و برخلاف بیسترپهای حجمی معمولی، میتواند یک یا چند فرکانس مشخص را با دقت بالا هدف قرار دهد.
قرار دادن bass traps در گوشههای اتاق میتواند تا ۵۰% انرژی بیس اضافی را جذب کند و پاسخ فرکانسی را متعادلتر کند.
۲. تنظیم مکان سابووفر
مکان سابووفر تأثیر زیادی بر کیفیت بیس دارد. چند استراتژی برای قرارگیری بهینه:
- قانون یکسوم: سابووفر را در یکسوم فاصله از دیوار قرار دهید تا SBIR کاهش یابد.
- استفاده از چند سابووفر: استفاده از دو یا چهار سابووفر میتواند بیس را یکنواختتر کند. برای مثال، قرار دادن سابووفرها در گوشههای مقابل یا در وسط دیوارهای جانبی میتواند مودهای محوری را کاهش دهد.
۳. اکولایزر دیجیتال (EQ)
اکولایزرهای دیجیتال مانند MiniDSP یا نرمافزارهای داخلی گیرندههای AV میتوانند برای کاهش نقاط تقویت (peaks) و جبران نقاط تضعیف (dips) استفاده شوند. برای مثال، اگر اندازهگیری نشان دهد که فرکانس ۵۰ هرتز بیش از حد قوی است، میتوانید آن را ۶-۱۲ دسیبل کاهش دهید.
۴. طراحی اتاق با ابعاد بهینه
ابعاد اتاق تأثیر مستقیمی بر توزیع مودها دارند. نسبتهای طلایی مانند ۱:۱.۶:۲.۵ میتوانند مودها را به طور یکنواخت توزیع کنند و از تجمع آنها در فرکانسهای خاص جلوگیری کنند.
۵. Double Bass Array (DBA)
DBA یک تکنیک پیشرفته است که از چندین سابووفر (معمولاً ۴ یا بیشتر) استفاده میکند. سابووفرها روی دیوارهای جلو و عقب قرار میگیرند و سابووفرهای عقبی با تأخیر و فاز معکوس تنظیم میشوند تا امواج ایستاده را خنثی کنند. این روش در سینماهای خانگی پیشرفته و استودیوهای حرفهای بسیار مؤثر است.
مثالهای عملی و مطالعات موردی
مورد ۱: استودیوی ضبط خانگی
یک استودیوی خانگی با ابعاد 3x4x2.5 متر ممکن است مودهای محوری قوی در حدود ۴۳ هرتز (طول) و ۵۷ هرتز (عرض) داشته باشد. با استفاده از REW، مهندس صوت متوجه شد که فرکانس ۵۰ هرتز بیش از حد تقویت شده است. راهحلها شامل:
- نصب bass traps در گوشههای اتاق.
- جابهجایی سابووفر به یکسوم فاصله از دیوار.
- استفاده از EQ دیجیتال برای کاهش فرکانس ۵۰ هرتز.
نتیجه: پاسخ فرکانسی متعادلتر و بیس شفافتر.
نکات پیشرفته برای حرفهایها
برای افرادی که به دنبال راهحلهای پیشرفتهتر هستند، تکنیکهای زیر پیشنهاد میشود:
- مدلسازی آکوستیکی: استفاده از نرمافزارهایی مانند COMSOL Multiphysics برای شبیهسازی دقیق رفتار بیس.
- تحلیل مودال پیشرفته: محاسبه مودهای مماسی و مورب برای اتاقهای پیچیدهتر.
- کنترل فعال (Active Control): استفاده از سیستمهای صوتی پیشرفته که به طور خودکار فرکانسهای مشکلساز را شناسایی و خنثی میکنند.
پیشنهاد ویژه:
دوره آموزش ماژول آکوستیک ساختمانی نرم افزار کامسول
ثبت نام دوره آموزشی نرم افزار کامسول
نتیجهگیری
فرکانسهای بیس به دلیل طول موج بلند و تعامل پیچیده با اتاق، چالشهای منحصربهفردی در آکوستیک ایجاد میکنند. مودهای اتاق، امواج ایستاده، روم گین و SBIR از مهمترین عوامل تأثیرگذار بر کیفیت بیس هستند. نصب bass traps، تنظیم مکان سابووفر، و تکنیکهای پیشرفته مانند DBA، میتوان کیفیت صدا را به طور قابلتوجهی بهبود داد. این دانش برای هر کسی که به دنبال تجربه صوتی بهینه در فضاهای بسته است، ضروری است.